教育部公示!九江这些学校拟入选
    日期: 2025-05-21          来源: 教育部官网          访问量: 0

    教育部官网发布

    关于2024年度全国青少年

    校园足球特色学校认定结果的公示》

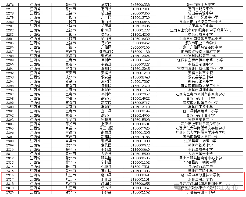
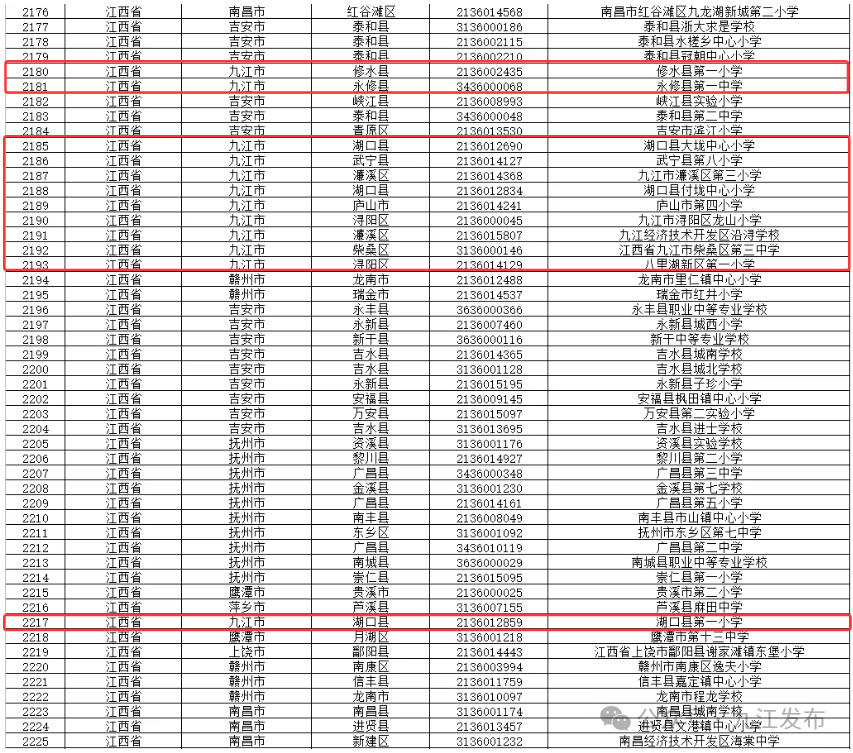
    拟认定2024年全国青少年

    校园足球特色学校5892所

    快来看看

    九江有哪些学校上榜吧


    图片
    关于2024年度全国青少年校园足球特色学校认定结果的公示


    为贯彻落实《中国足球改革发展总体方案》,教育部组织开展2024年度全国青少年校园足球特色学校遴选工作。根据《教育部办公厅关于开展2024年度全国青少年校园足球特色学校申报工作的通知》(教体艺厅函〔2024〕50号)要求,经学校自主申报、地方教育行政部门逐级审核推荐、省级教育行政部门向社会公示、教育部综合认定等程序,拟认定2024年度全国青少年校园足球特色学校5892所(名单见附件)。现予以公示,公示期为2025年5月16日至5月20日。


    公示期内,如有异议,请以书面形式反映情况(信函以到达日邮戳为准)。反映情况须客观真实,以单位名义反映情况的材料需加盖单位公章,以个人名义反映情况的材料应署实名并提供有效联系方式,逾期或匿名反映不予受理。


    教育部体育卫生与艺术教育司

    2025年5月16日

    九江具体有哪些学校上榜?
    快看看有没有你的母校?

    图片
    图片



    已有 0 人赞过